学术新闻
北大六院岳伟华团队报道黑质高表达基因多态性参与调节抗精神病药物所致急性期运动障碍
抗精神病药物(Antipsychotics,APDs)是精神分裂症的一线治疗选择。然而APDs治疗常常伴随着显著的不良反应,其中抗精神病药物引起的运动障碍(Antipsychotic-induced movement disorders,AIMDs)是最常见的不良反应之一。AIMDs包括锥体外系症状(Extrapyramidal symptoms(EPS), 如震颤、急性肌张力障碍和帕金森样表现)、静坐不能和迟发性运动障碍。虽然迟发性运动障碍通常发生于长期使用APDs后,但最近精神药理学和遗传学领域的进展提出在APDs治疗急性期也有发生不自主运动的风险。AIMDs 严重损害精神分裂症患者的生活质量,继发治疗依从性降低,特别是在治疗起始阶段。AIMDs的出现受到药理学和遗传因素共同作用,但机制尚不清楚。
2025年8月19日,银河6163线路检测(北大六院)岳伟华课题组在Military Medical Research(MMR,IF = 22.9)在线发表了题为“Substantia nigra related gene polymorphisms associated with antipsychotic-induced acute movement disorders: a genome-wide association study and multi-ancestry validation in schizophrenia”的研究,通过三项独立验证临床队列(发现队列:中国抗精神病药物基因组学联盟CAPOC;验证队列:帕利哌酮单药队列PAL;多种族验证队列:精神分裂症干预有效性的临床抗精神病药物试验CATIE),发现并验证了黑质高表达基因多态性参与调节抗精神病药物所致急性期运动障碍。北大六院博士后卢喆博士为该论文第一作者,岳伟华教授为通讯作者,孙瑶瑶副研究员为共同通讯作者。

本研究作为迄今为止规模最大的抗精神病药物所致运动障碍(AIMDs)全基因组关联分析(Genome-wide association study, GWAS),系统性地揭示了与急性期AIMDs发生相关的遗传基础,并取得了多项具有重要意义的发现(图1)。

图1 研究流程图
(注释:辛普森-安格斯量表 Simpson-Angus Scale, SAS 量表评估 EPS;巴恩斯静坐不能量表 Barnes Akathisia Rating Scale, BARS 量表评估静坐不能;不自主运动量表 Abnormal Involuntary Movement Scale, AIMS 量表评估不自主运动)
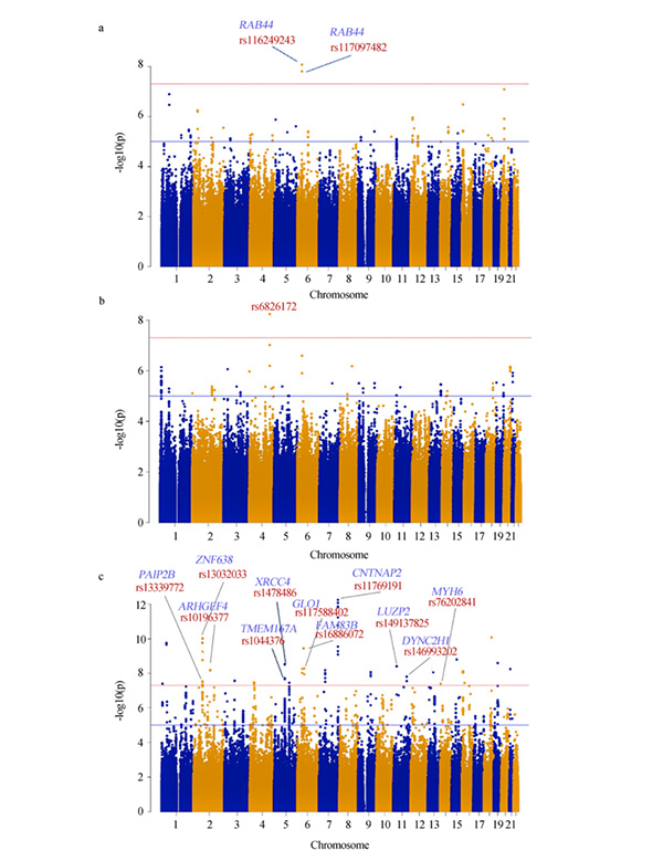
首先,研究通过大规模GWAS分析,在全基因组范围内成功识别出多个与不同AIMDs表型显著相关的遗传易感位点。具体而言,发现RAB44 基因上2 个位点与 EPS 相关(rs116249243, P = 5.98 × 10-9; rs117097482, P = 1.17 × 10-8);1个基因间位点与静坐不能相关(rs6826172, P = 5.56 × 10-9);76个位点与不自主运动相关,共映射到11个基因,包括CNTNAP2、ZNF638、LUZP2、FAM83B、GLO1、ARHGEF4、DYNC2H1、XRCC4、TMEM167A、MYH6 和 PAIP2B(图2)。值得注意的是,这些位点在东亚人群精神分裂症GWAS汇总数据中均未达到显著性,表明它们特异性与AIMDs相关,而非精神分裂症本身固有遗传背景。

图2 GWASs结果
验证样本独立验证了上述GWASs中的部分位点。进一步的功能注释和生物信息学分析表明,这些风险基因显著富集于神经发育相关生物学过程,包括神经元分化、神经元发育、神经发生及前脑发育等通路,提示AIMDs的发病机制可能与神经发育障碍存在共享的遗传基础。组织表达分析还发现,这些基因在黑质等关键脑区中特异性高表达,进一步支持其在运动调节中的潜在作用。
研究还构建了多基因风险评分(Polygenic risk scores, PRSs)模型,该模型对AIMDs、特别是药物治疗急性期出现的不自主运动表现出优异的预测效能(AUC = 0.83),显示出其作为AIMDs早期风险分层工具的潜力。

图3 独立验证与富集分析
文章结论与讨论,(未来)启发与展望
该研究不仅初步构建了AIMDs的遗传架构,揭示了其特异于发病的遗传因素,还通过功能注释和预测建模将基础遗传发现向临床转化推进了一步,为后续机制研究、风险预测及个体化治疗策略制定提供了重要依据。
原文链接:https://mmrjournal.biomedcentral.com/articles/10.1186/s40779-025-00636-w
本研究获国家自然科学基金、博士后创新人才支持计划(A档)等项目资助。

通讯作者及课题组简介:岳伟华银河6163线路检测院长,北京大学IDG麦戈文脑科学研究所教授。课题组研究兴趣,主要从事常见精神障碍(如:精神分裂症、双相情感障碍、抑郁症)的遗传易感性研究,包括对发病风险和药物疗效基因的精细定位及功能注释、多组学验证分析,为阐明常见精神障碍的发病机制和优化个体化治疗方案提供科学依据。主要发现:1)采用基因组学研究策略,发现并验证中国汉族人群精神分裂症的新型易感基因并解析其部分生物功能;2)利用多组学技术揭示遗传变异影响精神分裂症患者基因转录功能及脑影像学特征;3)在基因组水平发现抗精神病药疗效个体差异的新型靶基因且疗效预测效果良好,为阐释精神分裂症发病机制和指导合理用药提供了新思路。

English
院内办公OA登录

银河6163线路检测
海淀院区:北京市海淀区花园北路51号






